摘 要
本文针对皮江法炼镁工艺中白云石煅烧CO2排放严重、煅烧效率低等问题,构建了基于CO2循环载热与资源化回收的白云石高效煅烧竖窑工艺。基于化学热力学理论,验证了纯CO2环境中白云石煅烧的可行性分析,表明提升煅烧温度50 ~100K可有效克服CO2对碳酸盐分解的抑制作用;根据能-质平衡模型,进行了CO2循环煅烧工艺系统热平衡分析,确定了系统各节点的能量流和质量流,得到了系统CO2回收量/循量以及系统能耗;建立CO2环境中碳酸盐煅烧动力学模型,解析了纯CO2情况下CO2压力对CaCO3·MgCO3煅烧过程的影响,并发现高CO2压力有助于提升煅烧效率和质量。利用该工艺,所有由白云石分解产生的CO2均可被资源化回收,白云石煅烧过程的CO2排放量可减少70%以上。

1.引言
我国是世界上第一大镁生产国和出口国,目前每年的原镁产量约90万吨,占世界原镁产量的85%以上[1]。热还原法和电解法是目前两种主要炼镁工艺,其中,以皮江法为代表的热还原法是我国原镁生产的主要方法,其原镁产量占我国原镁总产量的90%以上。皮江法炼镁工艺是利用白云石为原料,通过高温煅烧生产煅白;再以硅铁为还原剂,在真空和高温下将煅白中的Mg还原形成镁蒸气,冷凝后得到金属镁[2,3]。白云石(CaCO3·MgCO3)煅烧以及氧化镁还原的化学反应方程式如下:
(1)
(2)
21世纪初,皮江法(热还原法)引入我国,该法具有可以直接利用我国量产丰富的白云石矿为原料,工艺及设备简单,投资少等优势,在我国得到广泛推广应用。但值得注意的是,我国皮江法炼镁工艺长期以来都是以浪费能源/资源、牺牲环境为代价进行原镁生产,存在原料利用率及热效率低,污染物及CO2排放严重等问题,并被认为对全球气候变暖有严重影响[4]。Hensher等人的研究表明金属镁生产过程造成的CO2排放约占整体人为源排放的18%[5]。
与水泥等工业碳排放过程相比,金属镁冶炼过程的碳排放除了来自燃料燃烧的间接排放以外,还来自于白云石(碳酸盐)煅烧分解的直接排放。回转窑是目前应用最广的白云石煅烧设备[6],能耗高,热效率低,并且烟气和煅白余热均未利用,排放温度高达~800℃以上。粗放式的生产工艺造成白云石煅烧过程效率低,资源/能源损耗大,并且产生的二氧化碳直接排放进大气,严重影响环境。
因此,为了解决皮江法炼镁过程中的二氧化碳排放严重等问题,本文提出了基于CO2循环的低碳高效金属镁冶金新工艺。新工艺采用竖窑进行白云石煅烧,充分回收利用了煅烧后CO2和煅白余热,在提高煅烧效果的同时实现白云石产生的CO2的资源化回收。
2.CO2循环煅烧白云石工艺构建
产物气循环煅烧白云石与CO2资源化回收新工艺主要包括白云石煅烧竖窑、蓄热式加热炉、高温除尘器、储气罐以及高压风机等,如图1所示。

图1.产物气循环煅烧白云石与CO2资源化回收新工艺
白云石煅烧竖窑自上而下分为预热区、煅烧区和冷却区。白云石矿料从炉顶进入,在重力作用下缓慢运动。白云石煅烧过程产生的CO2从炉顶侧面排出,经高温除尘器净化后,一部分进入储气罐进行资源化回收,另一部分作为热载体进行循环,循环过程如下:
1)CO2首先进入竖窑冷却区,利用煅白(白云石煅烧产品)的余热对循环CO2进行初步加热;而后进入蓄热式加热炉被进一步加热至1400 K以上。
2)加热后的高温CO2作为热载体被通入竖窑煅烧区,为白云石煅烧过程供热。
3)煅烧完成后,作为热载体的CO2和新分解产生的CO2一同进入竖窑上部预热段,通过逆流换热预热未反应的白云石;
4)预热矿料后,CO2从顶部排出,进行下一次循环。
通过上述循环煅烧工艺,CO2在循环过程中不断富集,当满足循环供热需求后,过剩的CO2经分流后被通入储气罐进行资源化回收。
3. CO2环境中白云石煅烧的可行性分析
产物气循环煅烧新工艺中,白云石的分解在高浓度的CO2环境中进行。由反应式(1)可知,CO2是白云石(CaCO3·MgCO3)分解产物,浓度过高会抑制化学反应的正向进行。相同环境中,CO2浓度越高,CO2分压越大。为定量研究高CO2浓度/分压环境下CaCO3和MgCO3分解的可行性,分别进行CaCO3和MgCO3分解反应的热力学分析如下。
白云石(CaCO3·MgCO3)分解反应(1)实际分如下两步:
(3)
(4)
吉布斯自由能变(△G)通常被用以描述化学反应进行的方向:△G< 0即表示反应自发的正向进行。由式(3)和(4)可知,CO2是CaCO3和MgCO3分解过程中唯一的气体产物,因此CaCO3和MgCO3分解反应的吉布斯自由能变均可由下式(5)计算:
(5)
其中,
(6)
(7)
(8)
R,T,Cp和Pθ分别代表理想气体常数8.314(J mol-1·K-1),温度,定压比热容和标准压力100 kPa;△Gθ,△Hθ和△Sθ分别代表标准摩尔生成吉布斯函数(kJ mol-1),标准摩尔生成焓(kJ mol-1)和标准摩尔熵(J mol-1K-1)。根据公式(5)~(8)以及相关热力学参数[7],可以计算得出CO2分压对CaCO3和MgCO3分解反应△G的影响,如图2所示。

图2.(a)CaCO3和(b)MgCO3分解反应△G随温度及CO2分压的变化
图2(a)展示了在不同温度情况下,CaCO3分解反应△G均随二氧化碳分压(PCO2)的增大而增大,此结果即为高CO2浓度抑制CaCO3分解反应的原因。一旦△G超过0,即表明CaCO3分解过程被完全抑制。例如,当温度为1000 K,PCO2为0.05 atm时,CaCO3分解反应△G约为-4.1 kJ mol-1,反应自发正向进行;当保持温度1000 K不变,PCO2增大为0.2 atm时,CaCO3分解反应△G约为6.3 kJ mol-1,分解反应被完全抑制。相同PCO2情况下时,温度越高,△G越小,表明当CaCO3分解过程被抑制时,升高煅烧温度可重新触发反应。例如,当保持PCO2为0.2 atm不变,将温度从1000 K升高至1100 K,CaCO3分解反应△G从6.3 kJ mol-1降低为-10.5 kJ mol-1,该分解反应再次自发正向进行。而当温度上升到1200 K时,即使在CO2分压为1 atm的情况下,CaCO3分解反应也可自发进行。
同样地,CO2分压和温度对MgCO3分解反应△G的影响与CaCO3类似,如图2(b)所示。在大约600 K以上时,MgCO3分解反应可以在CO2分压为1 atm的情况下自发进行。
上述结果表明,作为产物气,CO2浓度升高的确会对CaCO3和MgCO3的分解反应产生抑制作用,但只要将煅烧温度体高便可有效克服该抑制作用。

图3. MgCO3和CaCO3起始分解温度随CO2分压变化
进一步地,CaCO3/MgCO3的起始分解温度与PCO2的定量关系如图3所示。图中显示,CaCO3和MgCO3的起始分解温度均随PCO2的增加呈对数增加。当PCO2为0~6 atm时,CaCO3的理论起始分解温度约为900 K~1200 K,MgCO3的理论起始分解温度约为550 K~ 650 K。理论上,只要高于上述温度,CaCO3和MgCO3的分解反应均可自发进行。此外,如图3所示,MgCO3分解温度与CaCO3相比相对较低,可能由于MgCO3晶格能较小造成的。
在传统工艺中,白云石(CaCO3·MgCO3)分解环境中的PCO2约为0.1~0.2 atm,CaCO3和MgCO3的理论起始煅烧温度分别为1050 K和550 K左右。若采用产物气循环煅烧新工艺,即使将PCO2增加至1~6 atm,CaCO3和MgCO3的理论起始煅烧温度相对传统煅烧也仅增加50 ~100 K。该结果表明,温度是CaCO3和MgCO3分解的主导因素,提高温度可有效促进白云石矿在高浓度CO2/分压情况下分解,证实了CO2循环煅烧白云石工艺的可行性。
4. CO2循环煅烧工艺系统热平衡分析
针对处理量为120t/d的白云石煅烧体系进行系统热平衡分析。白云石质量流量为5000 kg/h。为保证白云石中的CaCO3在纯CO2环境中充分分解,矿料温度至少应达到1200 K以上,考虑到热载体与矿料之间的传热温差,热载体的温度设定为1400 K ~1600 K。
该循环煅烧系统的主要目的是实现矿料煅烧,矿料煅烧的热量全部由热载体CO2供给:
(9)
其中,
(10)
(11)
QCO2为CO2携带热量,Qr为白云石分解反应所需热量,qb和qc分别是白云石和CO2的质量流量。
特别地,在煅烧段,白云石分解会产生的CO2(qc,2)和煅白(qdb),则
(12)
同时,煅烧段入口CO2流量qc,1和煅烧出口CO2流量qc,3有如下关系:
(13)
CO2从竖窑顶部排出(qc,3)后,一部分用于资源化回收(△qc),另一部分顺次通入冷却段和蓄热式加热炉,被加热后进行下一次载热循环(qcloop),即:
(14)
此外,在新工艺中,具有高温余热的CO2和煅白分别进入竖窑预热段和冷却段,进行余热回收。
预热段中,利用CO2(温度~1000 K以上)对未反应矿料进行预热,通过逆流换热提升矿料其潜热,实现CO2余热的充分利用。高温CO2和低温白云石的气-固换热过程可由下式描述[8]:
(15)
Tg和Ts分别代表CO2和白云石温度;代表对流换热系数;v,g/s,r和d分别代表矿料下移速度,气固水当量比,矿料平均粒径和竖窑高度。
冷却段中,利用煅白的余热(温度~1000 K以上)对循环CO2进行初步加热。同理,低温CO2和高温煅白的气-固换热过程可由公式(16)计算。此外,考虑到CO2从炉顶排出后到进入冷却段之前会有散热损失,因此CO2从预热段排出温度(Tc,yout)与进入冷却段的温度(Tc,lin)之间存在温度差(△Tc):
(16)
预热段和冷却段的气固换热结果如图4所示。图中横坐标为温度,纵坐标为竖窑高度。计算过程参照石灰煅烧竖窑,一般产能为~100 t/d的竖窑冷却段和预热段高度~10 m,煅烧段~5 m。图4(a)显示,预热段中,CO2的温度从~1000 K降低到~500 K,而白云石的温度从~300显著上升至~1000 K。图4(b)显示,冷却段中,CO2的温度从~400K上升到~600 K,而白云石的温度从~1000降低至~400 K。结果表明,CO2的和煅白的余热均得到了有效回收,并直接利用与煅烧过程,从而实现高效节能煅烧。

图4(a)预热段中高温CO2与低温白云石气-固换热过程;(b)冷却段中低温CO2与高温煅白气-固换热过程
联立公式(9)~(16),计算得到的CO2载热循环煅烧白云石(CaCO3·MgCO3)系统热平衡结果,如表1所示。结果显示,针对白云石煅烧量120t/d(5000 kg/h)的煅烧系统,当系统稳定运行后,CO2回收量约为2400 kg/h,占CO2循环量的15%。利用该工艺,所有由白云石分解产生的CO2均可得到有效的资源化回收,使得白云石煅烧过程的CO2排放量减少70%以上;此外,由于充分利用了煅烧后CO2和煅白的余热,该系统的能耗仅为140 kgce/t 锻白。
表1稳定运行后CO2载热循环煅烧白云石(CaCO3·MgCO3)系统热平衡分析表

5. CO2环境中碳酸盐煅烧的动力学分析
为研究PCO2对CaCO3和MgCO3煅烧分解过程的影响,本文建立了CO2环境中碳酸盐煅烧动力学模型,如下。
图5为CO2环境中碳酸盐分解缩核模型示意图,CaCO3或MgCO3矿料被视为球体,从外到内依次分为产物层、反应层和未反应核。热量通过对流换热传递到矿料表面,再由表面通过导热传递至矿料内部。当矿料温度达到当前CO2分压环境下CaCO3或MgCO3的起始分解温度时,CaCO3或MgCO3开始分解,形成CaO或MgO,并产生CO2。产生的CO2通过CaO或MgO的孔隙向矿料表面扩散,最终随热载体一同排出。

图5. CO2环境中碳酸盐煅烧模型
矿料的传热过程由一维径向导热微分方程描述:
(8)
其中,
(9)
ρ代表密度(kg m-3),r代表半径(m),t代表时间(s),λ代表导热系数(W m-1K-1),Qr代表化学反应热(J)。
CO2的传质由下式描述:
(10)
其中,
(11)
(12)
w,De,MCO2和mr分别代表CO2质量浓度(g m-3),CO2传质系数(m s-1),CO2摩尔质量(g m-3)和CO2生成速率(kg s-1),As代表反应层表面积,J代表单位面积CO2生成速率(kg m-2s-1),k为反应速率常数(kg m-3s-1)。
5.2 CO2压力对碳酸盐矿反应层厚度的影响
如图6所示,碳酸盐矿内部存在厚度为Dr的反应层。Dr越大,反应层内沿径向的温差越大,则径向各点处碳酸盐分解状态的差异性越大,使得最后形成的产物微观结构各异,质量较差。反之,反应区厚度Dr越小,碳酸盐矿料内径向各点则可在几乎相同的条件下分解,煅烧产品的质量较好。因此,反应层的厚度Dr可用以表征矿料煅烧效果的好坏。

图6.(a)PCO2= 0.2 atm和(b)PCO2= 1 atm情况下CaCO3分解反应层厚度h随时间的变化
(Dr为反应层厚度;tr为半径r处的反应层完全分解所需时间)
本文以CaCO3为例,详细分析CO2压力对碳酸盐矿反应层厚度h的影响,结果如图6所示。图6(a)和(b)分别为PCO2= 0.2 atm和PCO2= 1 atm情况下CaCO3分解反应层厚度h随时间的变化。CaCO3在纯CO2环境中煅烧,矿料粒径为30 mm,热载体CO2温度为1600 K。图中横坐标为时间,纵坐标为CaCO3径向与中心的距离,红色区域代表反应层;红色区域左/下方黑色区域代表未反应核,右上方黑色区域代表产物层,黑色区域仅发生传热。如图6(a)所示,当PCO2= 0.2 atm时,反应层在第6 min时出现,即表明在此条件下CaCO3反应从第6 min开始;反应层在第39 min后消失,即表明在此条件下CaCO3反应在第39 min结束,反应时间总共33 min,反应层平均厚度约为6 mm,每层分解完全平均所需13 min。如图6(b)所示,当PCO2= 1 atm时,反应层在第4 min时出现,即表明在此条件下CaCO3反应从第4 min开始;反应层在第22 min后消失,即表明在此条件下CaCO3反应在第22 min结束,反应时间总共18 min,反应层平均厚度约为3 mm,每层分解完全平均所需4 min。
比较图6(a)和(b)中的结果发现,CO2压力增大,反应层的厚度Dr减小,每层分解完全所需的时间tr减小,开始反应的时间以及反应所需的总时间均减少。分析其原因:虽然CO2压力增大会对CaCO3分解反应产生一定的抑制作用,但同时也会促进CaCO3矿料的传热过程。CO2压力增大,即单位时间内撞击矿料表面单位面积的分子数增多,热载体和矿料之间的能量传递加剧,使矿料温度升高。而温度升高可有效克服由PCO2过大造成的对CaCO3分解的抑制作用,因此PCO2增大反而可对CaCO3分解起到促进作用。

图7. CaCO3和MgCO3分解反应层厚度随CO2分压的变化(颗粒直径30mm,热载体CO2温度1600 K)
进一步地,对不同PCO2环境中CaCO3和MgCO3分解反应层厚度Dr进行比较分析,结果如图7所示。CaCO3和MgCO3均在纯CO2环境下煅烧,颗粒直径均为30mm,热载体CO2温度为1600 K。图7显示,CaCO3和MgCO3的Dr均随PCO2的增大而减小。例如,当PCO2为0.5 atm时,CaCO3和MgCO3的Dr分别约为5 mm和2 mm;而当PCO2增大至2 atm时,CaCO3和MgCO3的Dr均减小至1 mm。由该结果可推断:PCO2增大可使CaCO3和MgCO3的反应层变窄,使矿料内部各点在几乎均一的温度下分解,从而使分解产物CaO/MgO的微观结构(孔隙)分布越均匀,煅烧产品质量(活性)越高。
5.3 CO2压力对碳酸盐矿煅烧时间的影响
煅烧时间是衡量煅烧效率的重要指标,矿料煅烧完全所需的时间越短,表明煅烧效率越高。通常采用转化率描述矿料分解的程度,转化率γ的定义如下[9]:
(13)
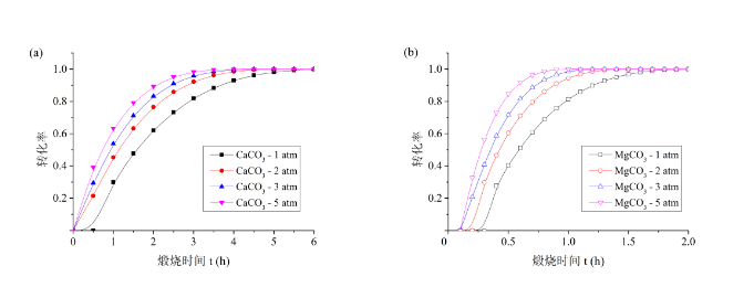
其中,r0和r分别代表矿料的原始半径(m)和当前未反应核半径(m)。转化率0 ≤ γ≤ 1,当α达0.99以上视为完全反应。在纯CO2环境中,利用1600 K的热载体分别对30 mm的CaCO3和MgCO3的进行煅烧反应模拟,其转化率随时间的变化如图8所示。图8(a)显示了PCO2在1~5 atm情况下CaCO3转化率的变化。煅烧时间越长,反应进行程度越大,转换率逐渐增大,并在3~6 h内趋近于1。相同煅烧时间的情况下,PCO2越大,转化率越大。例如,当煅烧时间为2 h时,CaCO3的转化率在PCO2= 1 atm时约为0.6,而在PCO2= 3 atm时增加值0.8以上。该结果表明,PCO2增大可以加速CaCO3的分解过程,提高煅烧效率。
类似地,MgCO3的转化率在不同PCO2情况下呈现相同的变化趋势,如图8(b)所示。与CaCO3相比,MgCO3转化率上升的时间尺度更短,即MgCO3向MgO的转化更快速。

图8.不同CO2分压下(a)CaCO3和(b)MgCO3转化率随时间的变化
进一步分析在不同PCO2环境中CaCO3和MgCO3完全煅烧所需的时间变化,如图9所示。当煅烧过程中的PCO2从1 atm增加至5~8 atm时,CaCO3煅烧时间从6 h降低至4小时以下,下降幅度超过30%;MgCO3煅烧时间从2 h降低至1小时以下,下降幅度超过50%。该结果表明,随着PCO2的增大,两种碳酸盐的完全煅烧时间均显著减小。煅烧时间越小,意味着煅烧单位质量的矿料所需的能量供给越少,越节能。因此,在CO2循环煅烧白云石工艺中,可适当增大PCO2,以降低能耗,提高产能。

图9. CaCO3和MgCO3完全煅烧时间随CO2分压的变化
6.结论
1)本文利用白云石分解产生的CO2作为循环热载体,构建了低碳高效的金属镁冶炼新工艺。该工艺系统主要包括白云石煅烧竖窑、蓄热式加热炉、高温除尘器、储气罐以及高压风机等。从炉顶排放的CO2经高温除尘后,首先通入竖窑冷却段,利用煅白余热进行初步加热;再经蓄热式加热炉被加热至~1400 K以上后,进入竖窑煅烧段为白云石分解供热。CO2在循环中不断富集并实现资源化回收。
2)CO2循环煅烧工艺系统稳定运行后,所有由白云石分解产生的CO2均可被资源化回收,使白云石煅烧过程的CO2排放量减少70%以上;CO2回收量约占CO2循环量的15%;新工艺充分利用了煅烧后CO2和煅白的余热,系统能耗约为140 kgce/t 锻白。
3)CO2循环煅烧工艺中,白云石(CaCO3·MgCO3)在纯CO2环境下煅烧,CO2浓度/分压过高会抑制CaCO3/MgCO3分解,通过提升煅烧温度50 ~100 K可有效克服CO2对碳酸盐分解的抑制作用。
4)纯CO2煅烧条件下,提升CO2压力有助于提升煅烧效率和质量:CO2压力越大,碳酸盐矿的反应层厚度越小,煅烧完全所需的时间越少,使得矿料内径向各点可在几乎相同的条件下快速分解,煅烧产品微观结构越均匀,质量越好。
作者简介
夏德宏,北京科技大学流程工业系统能效提升与碳中和首席教授,享受国务院政府特殊津贴专家,北京市名师。长期从事工业节能环保技术、能源与资源的有序转化与高效利用、非线性热科学理论与应用等研究,完成了国家有关部委的多项重点科研项目、国际合作项目以及与企业的合作研发项目,获国家发明和实用新型专利50余项,在国内外有重要影响的学术期刊上发表论文300余篇。出版和翻译出版科技专著3部。先后获得国家科技进步奖1项,北京市科技进步奖2项,中国冶金科学技术奖3项,为促进我国流程工业的节能减排与碳中和做出了重要贡献。