01 论 文 概 述
镁及镁合金由于具有密度低、比强度和比刚度高、阻尼性能好等特点,在汽车、航空航天和3C行业等领域展现了广阔的应用前景。然而,由于镁合金耐腐蚀性差、抗蠕变性低和室温成形性有限,其应用受到了一些限制。为了提高镁合金的综合性能,通常利用合金化和热处理等手段来调节其微观组织,而这些微观组织与性能,特别是中高温性能,受扩散行为的影响很大。通常,镁合金的扩散行为可由镁合金的扩散系数反映。迄今,镁基二元体系以及少量三元体系的扩散系数已由扩散偶实验及计算等方法得到。然而,大量三元及三元以上合金体系的扩散数据仍然缺乏,其原子迁移率数据库也不完整,限制了镁基多元合金体系的析出模拟及力学性能的预测。
最近,德国Helmholtz-Zentrum Hereon黄原定教授和上海大学罗群教授等人回顾了扩散系数的实验测定和辅助计算方法,总结了不同文献中镁合金的主要扩散系数,为促进二元和多元镁合金的原子迁移率数据库的建立提供了理论基础。此外,由于镁与镁合金扩散数据库已被应用于研究其析出演变行为和预测相关的性能,可以为设计具有高性能的镁合金提供参考。例如,可以基于析出模拟有效估算镁合金的屈服强度、硬度和高温下的蠕变行为。
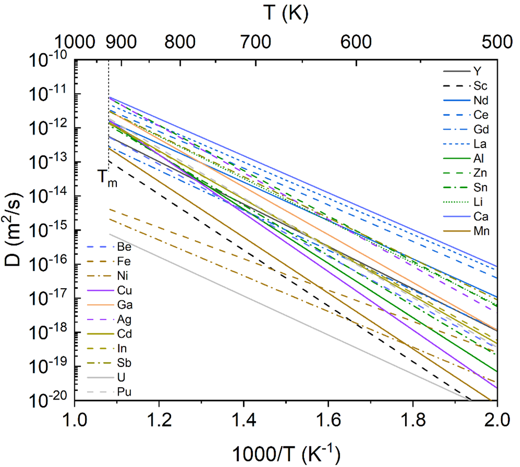
早期多用同位素示踪法测定合金扩散系数,该方法得到的实验数据可靠,但费时费力,对于一些常见的合金元素,很难找到其合适的放射性同位素。因而扩散偶法成为常见的扩散系数测定方法,扩散偶法主要分为固固扩散偶和固液扩散偶。基于上述实验方法可得到成分-距离曲线,选择合理的分析模型提取合金的扩散系数。为了得到更全面的扩散系数数据库,研究人员还开发了第一性原理计算方法。图1总结了实验测得的合金元素在镁基体中的杂质扩散数据,该结果主要依赖于实验所得的扩散系数值。显然,合金元素在镁基体中的杂质扩散系数表现出很强的温度依赖性,该关系可用阿伦尼乌斯方程描述。此外,合金元素本身的含量不会影响其在镁基体中的杂质扩散系数。迄今,文献中共报道了67种合金元素在镁基体中(二元合金体系)的杂质扩散系数。本综述还总结了Mg–Al–Zn、Mg–Al–Sn和Mg–Al–Ga三元合金体系中的杂质扩散数据。

图1 合金元素在镁基体中的杂质扩散系数评估值总结(基于文献中的实验)
互扩散系数对于更好地理解合金制备、热处理和服役行为是非常有帮助的。然而,与上述总结的杂质扩散系数相比,文献中报道的镁合金体系中的互扩散系数数据非常少。对于二元镁合金体系,仅报道了Al、Zn、Sn、Li、Mn、Ce、Y、Gd、Nd、Sc、Dy、Cu和Pr元素在镁中的互扩散系数。图2分别总结了互扩散系数DMg-Al和DMg-Zn,在图中所示温度下,互扩散系数基本随着Al和Zn含量的增加而呈现增大的趋势。这表明引入铝或锌元素后,镁合金体系将具有较低的活化能,即原子间结合力较弱,这可以解释镁固溶体的熔点随着Al和Zn元素的加入而降低。

图2(a)Mg-Al体系低铝浓度范围的互扩散系数,(b)Mg-Zn体系低锌浓度互扩散系数
一般而言,扩散系数与成分范围和温度密切相关,其数据量复杂且繁多。因此,基于扩散系数构建的原子迁移率数据库就能有效地提供扩散系数信息。如图3所示,结合热力学数据,可以得到较宽温度和成分范围下的扩散系数,如自扩散系数、杂质扩散系数、互扩散系数、本征扩散系数等。此外,合理的迁移率数据库将有效预测镁合金的析出行为,如析出相尺寸、数密度、体积分数及其分布,并基于此预测镁合金的机械性能。目前,已有研究基于扩散数据较为准确地预测了镁合金的屈服强度和硬度等室温力学性能。合金元素在镁中的扩散行为是影响镁合金蠕变性能的重要因素,尤其当蠕变温度大于二分之一熔点或蠕变应力较低时。因此,合理地测定并评估镁合金的扩散系数有助于设计综合力学性能优异的镁合金体系。

图3 原子迁移率数据库和不同类型扩散系数的关系
本综述对镁合金现存的扩散系数及其应用进行了概述,讨论了测定和提取扩散系数的实验和计算方法,然而,如何设计出可靠且成功率高的扩散系数测定方法仍至关重要。这将有效地扩充镁合金的扩散数据库,从而获得高元镁合金体系原子迁移率数据库。此外,在镁合金扩散系数数据基础上建立的析出模拟对于优化其热处理工艺以及调控合金组织和性能是非常重要的。研究人员现已通过镁合金析出模拟合理地预测了其室温屈服强度和硬度等力学性能,且利用扩散数据库解释了镁合金在高温低应力下的蠕变机制。然而,由于缺乏对镁合金组织和性能原子尺度的研究,即使有扩散数据,也很难建立力学性能与原子扩散之间的直接联系。因此,基于可靠的镁合金扩散数据,利用原位观察技术来分析微观结构的演变,可以为揭示其室温强化机制及抗蠕变机制提供更全面的证据和理论基础。
02 文 章 发 表
该文章发表在《Journal of Magnesium and Alloys》2022年第10卷第12期:
[1] Hui Shi, Yuanding Huang*, Qun Luo*, Sarkis Gavras, Regine Willumeit-Römer, Norbert Hort. A short review on diffusion coefficients in magnesium alloys and related applications [J]. Journal of Magnesium and Alloys, 2022, 10 (12): 3289-3305.
03 文 章 下 载

扫描二维码下载文章!
04 中 文 摘 要
为了更好地从动力学角度理解镁合金微观组织变化及高温变形机制,镁合金的扩散行为引起了广泛关注。镁合金的扩散系数可以有效地反映其扩散行为。因而,本文简要讨论了测定和提取扩散系数的实验和计算方法,系统地综述了镁合金的自扩散系数,杂质扩散系数以及互扩散系数,为更准确地设计出所需镁合金材料提供参考。此外,本文总结了镁合金扩散系数的相关具体应用,包括迁移率数据库的建立、析出模拟以及力学性能的预测。
05 Abstract
To have a better understand on the microstructural evolution and mechanical deformation at elevated temperatures with the assistance of kinetics, the diffusion behavior of Mg alloys is of special interesting to researchers. Diffusion coefficients of Mg based alloys can explain and represent their diffusion behavior well. In this review, the experimental and theoretical modelling methods for determining and extracting diffusion coefficients were discussed briefly. The reasonable diffusion data, especially self-diffusion coefficients, impurity diffusion coefficients and inter-diffusion coefficients of Mg alloys, were reviewed in detail, which could be useful for designing the Mg alloys with higher accuracy. Secondly, the practical applications of diffusion coefficients of Mg alloys were summarized, including diffusional mobility establishing, precipitation simulation and mechanical properties prediction.
06 作 者 简 介
第一作者/通讯作者简介:
时慧(第一作者),博士研究生,就读于德国Helmholtz-Zentrum Hereon,主要从事镁合金高温力学性能方面等相关工作。
黄原定(通讯作者),德国Helmholtz-Zentrum Hereon首席科学家,博导。长期从事结构和医用镁合金设计及其产品制备工艺的研究。迄今为止,发表科研论文210余篇,其中SCI论文151篇。SCI论文平均引用次数33次,h-index指数38。授权专利六项,撰写专著一本。担任国际学术刊物Journal of Magnesium and Alloys和SAE International Journal of Materials and Manufacturing副主编。多次担任国际学术大会组委会成员和分会主席。
罗群(通讯作者),教授、博导,就职于上海大学材料科学与工程学院,研究方向为铝和镁合金的相变热力学和动力学计算。以第一/通讯作者在J. Magnes. Alloy.、J. Mater. Sci. Technol.、Scripta Mater.等期刊上发表论文39篇,H因子27;获授权国家发明专利11项;主持多项国家自然科学基金、省部级、企业横向等项目10余项,入选中科协青年人才托举工程(2017年)、上海市启明星(2021年)等,担任JMA、RM、IJMMM、金属学报、中国有色金属学报等期刊青年编委。