文章梗概
本期推荐北京工业大学材料科学与工程学院高峰教授在镁冶炼碳排放方面的研究成果。论文题目为:中国金属镁生产二氧化碳排放分析及碳减排潜力预测,发表在《有色金属(冶炼部分)》2025年第5期。
引文格式
王建凯,杜世伟,高峰,陈丽娇. 中国金属镁生产二氧化碳排放分析及碳减排潜力预测[J]. 有色金属(冶炼部分),2025(2):64-71. WANG Jiankai, DU Shiwei, GAO Feng, CHEN Lijiao. Analysis of Carbon Dioxide Emissions from Magnesium Production in China and Prediction of Carbon Emission Reduction Potential[J]. Nonferrous Metals (Extractive Metallurgy), 2025(5):64-71.
文章亮点
新能源的崛起不仅为金属镁市场开辟了新的增长路径,同时也对镁生产过程中的碳排放提出了更为严苛的挑战与要求。将皮江法工艺中还原阶段的设备从“横罐”升级为“竖罐”,已成为减少镁冶炼过程环境影响的主要改进方向。采用生命周期评价(LCA)方法,对典型企业的“橫罐”和“竖罐”工艺生产1吨AZ91镁合金的碳排放进行了对比分析。并采用时间序列分析方法预测了中国原镁生产过程碳排放的变化趋势和减排潜力。基于当前技术发展趋势,2025—2035年原镁产能利用率将稳步上升,产量将实现稳步增长,预测镁冶炼行业将在2031年达到碳排放峰值。

🔺扫码下载全文🔺
研究背景
随着全球新能源产业的蓬勃发展,金属镁作为关键轻金属材料,在新能源汽车、储能系统及绿色能源等前沿领域展现出巨大的应用潜力。新能源的崛起不仅为金属镁市场开辟了新的增长路径,同时也对镁生产过程中的碳排放提出了更为严苛的挑战与要求。作为全球最大的原镁生产及出口国,中国2023年原镁产量达到82.24万t,占世界总产量的82%,其中金属镁均由皮江法工艺所生产。传统皮江法炼镁工艺的高能耗、高污染问题,已成为制约行业可持续发展的主要瓶颈。因此,金属镁生产节能低碳工艺技术的开发与推广应用对推动行业实现绿色低碳转型具有重要意义。
针对原镁生产碳减排,2021年工信部发布的《“十四五”工业绿色发展规划》明确提出了实施镁冶炼行业竖式还原炼镁技术和装备改造的任务,为镁冶炼行业的绿色发展指明了方向。生命周期评价(LCA)作为一种国际公认的环境管理工具,已广泛应用于行业碳核算及环境影响评价等领域,为镁冶炼行业的碳排放管理提供了科学依据。侯欣彤等的研究表明,采用竖式还原炉炼镁技术与电解法相比,在碳排放方面基本持平,均显著低于传统横罐皮江法炼镁。刘红湘等对皮江法炼镁工艺进行了生命周期评价研究,明确了镁冶炼过程环境负荷和能源消耗特点。
此外,国内外专家学者也在不断探索镁冶炼工艺设备及能源替代方案,如华志宇团队引入富氧燃烧技术减少焦炭用量和CO2排放,提高了能源利用效率。张少军团队研发的竖罐“两步法”镁冶炼技术,显著降低了综合能耗并提高了生产自动化程度。王德卿团队采用TBP-D2EHPA协萃体系分离提取盐湖卤水中的金属锂,同时得到副产品金属镁,为金属镁获取提供新思考。日本Yuji Wada团队研发出一种创新的微波驱动皮江法,成功将生产镁所需的能源消耗削减至58.6 GJ/t,相较于传统方法,能源消耗降幅达68.6%。俄罗斯Risto V. Filkoski团队针对白云石煅烧竖窑设备,开展了五种优化策略的分析研究,旨在有效减少煅烧过程中的特定能源消耗及二氧化碳排放量。结果表明,在燃料燃烧和原材料干燥之前,通过提前对空气进行预热,能够节能12%~15%。
综上所述,皮江法炼镁技术在持续优化升级,还原罐由“横”转“竖”的改进成为行业碳减排的主要方向。本研究结合中国原镁冶炼设备改进、电力结构、历史产量及环保政策等多因素,对比分析典型企业横罐与竖罐的碳排放及物耗差异。在梳理和核算原镁生产过程碳排放历史数据的基础上,预测分析未来十年我国镁工业二氧化碳排放及碳达峰情况,为镁行业绿色低碳转型升级与发展提供方法和数据支持。
方法和数据
1 研究对象
分别以2023年陕西省某企业横罐皮江法炼镁生产工艺和安徽省某企业竖罐皮江法炼镁工艺为研究对象。采用生命周期评价方法,分析“横罐”和“竖罐”两种工艺物耗、能耗及碳排放的差异。梳理2001—2023年中国原镁生产碳排放,并预测2024—2035年原镁产量及碳排放趋势。
2 系统边界与功能单位
研究的系统边界如图1所示。传统皮江法炼镁技术生产镁合金包含白云石煅烧、磨粉制球、真空热还原、粗镁精炼和合金化五道工序。本文研究的新型竖式还原炉炼镁工艺,则在此基础上进行了优化,包含白云石煅烧、磨粉制球、真空热还原和合金熔铸工序。相较于横罐,竖罐工艺将粗镁精炼与合金化过程合并为合金熔铸工序。

图1 皮江法生产碳排放边界
Fig.1 Pidgeon method produces carbon emission boundaries
功能单位设定为生产1 t AZ91D镁合金,合金主要成分(质量分数,%):Mg余量、Al 8.5~9.5、Zn 0.45~0.90、Mn 0.17~0.4、Si≤0.05、Cu≤0.025、Ni≤0.001、Fe≤0.004。
研究的系统边界具体说明如下:
1)本研究仅考虑CO2的排放强度,不包含其他温室气体。核算的碳排放范围包括皮江法炼镁的主要工序、白云石的开采、硅铁的生产、还原罐的生产、萤石的开采和镁合金AZ91的生产。
2)硫磺粉、钙溶剂等原料的使用量相对较少,且容易获得,故未考虑这些辅料生产的碳排放。
3)硅铁、白云石、萤石等原辅料的运输考虑在内。未考虑炼镁企业厂房建设、工艺过程设备使用和维护等环节碳排放。
4)基于时间序列的金属镁碳排放分析及预测,仅包括到原镁阶段,不包含生产镁合金AZ91的过程。
3 碳排放计算方法
生产过程碳排放主要有两方面,一是燃料的燃烧和白云石煅烧所直接释放的二氧化碳;二是电力使用、硅铁生产和其他金属生产的间接排放。皮江法炼镁工艺碳排放计算公式如下:

3.1 燃料燃烧
燃料的消耗数据来源于中国有色金属工业协会镁业分会和典型镁企的调研。在循环经济理念指导下,部分镁企构建的原煤—洗煤—兰炭—煤气、硅铁—金属镁、发电—镁合金产业生态工业园,极大提高了能源的利用率。镁生产所用气体燃料,如半焦气、兰炭尾气、焦炉煤气是焦炭等生产过程的副产品,因此在计算兰炭气和硅铁原料兰炭的生产过程排放时,为了避免碳排放重复计算,采用热值分配方法来确定气体燃料的生产数据清单。燃料燃烧释放的二氧化碳计算方法如下:

式中,G燃料表示核算范围内化石燃料燃烧释放的二氧化碳排放量(t CO2);i表示化石燃料类型;NCVi表示第i种燃料的平均低位发热量(GJ/t、GJ/万m3);FCi表示核算范围内第i种燃料的净消耗量(t/万m3);CCi表示第i种燃料的单位热值含碳量(t C/GJ);OFi表示第i种燃料的碳氧化率(%)。生产过程使用燃料的相应参数见表1。

3.2 白云石分解
白云石是原镁的主要原料,化学成分为CaCO3·MgCO3。在白云石的煅烧过程中碳酸盐分解会释放大量的二氧化碳,CO2的计算方法参考温室气体排放核算与报告要求中镁冶炼部分的方法,计算公式如下:

式中,G白云石煅烧为煅烧白云石的二氧化碳排放总量(kg);DX为所用白云石CaCO3·MgCO3的占比(%),采用有色金属协会的推荐值98%;0.479为白云石煅烧的二氧化碳理论排放系数(t CO2/t);D为白云石的消耗量(t)。
3.3 电力使用的间接排放
电力二氧化碳排放系统边界涵盖了电力使用过程中的排放以及电力生产过程中的排放。由于发电结构的逐年变化,排放因子也呈现出年度波动。研究中所使用的电力二氧化碳排放因子数据均来源于北京工业大学材料生命周期评价数据库。
3.4 硅铁生产的间接排放
75#硅铁是镁生产的还原剂。平均每千克硅铁耗电8.0~8.8 kWh,皮江法炼镁每吨镁消耗硅铁1.05~1.10 t。在“低碳”背景下,硅铁冶炼使用的原料逐渐由焦炭转变为兰炭,后者在节约能源、降低生产成本方面具有更大的潜力。硅铁的生产工艺近年来没有根本性变化,生产1 t硅铁需要消耗210~230 kg铁屑,1.8~2 t硅石,890~920 kg焦炭或兰炭,40~50 kg电极糊,8100~8300 kWh电力。硅铁生产的数据来源于陕西某企业实测。
3.5 还原罐生产碳排放
在皮江法炼镁工艺中,还原罐作为还原工序核心设备,同时亦是耗材,本研究将其生产过程中的碳排放考虑在内。还原罐生产清单数据基于对陕西省神木市某企业进行的实地调研。选定的还原罐材质为HI(合金25-35),其规格为直径330 mm,质量(800±20) kg。具体生产清单数据如表2所示。生产镁合金AZ91的生命周期清单数据如表3所示。

结果与讨论
1 还原设备改进分析
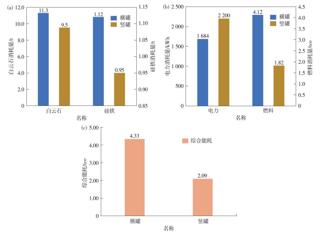
还原罐结构的改变并未使生产镁合金AZ91的主要原辅料种类发生本质变化,但在粗镁及镁合金的生产流程中,各单元环节的能源消耗与物料消耗的数量却展现出较为明显的差异。物耗计算结果如图2(a)所示,每生产单位量的镁合金,所需投入的白云石与硅铁量分别降低了约10.38%和9.52%。

图2 物耗(a)、能耗(b)、综合能耗(c)计算结果
Fig.2 Calculation results of material consumption (a), energy consumption (b) and comprehensive energy consumption (c)
在镁合金冶炼过程中,白云石煅烧及燃料燃烧过程CO2排放的计算结果显示,竖罐白云石和燃料消耗量的降低导致直接碳排放量下降了40.3%。同时,硅铁和电力消耗量的变动使得竖罐间接碳排放量下降了10.08%。萤石开采及还原罐生产阶段,由于其消耗量相对较小,碳排放量占比较低,在竖罐生产过程中,碳排放量分别占总排放量的0.06%和0.2%;而在横罐生产过程中,该比例则为0.03%和0.14%。图3是镁合金生产的二氧化碳排放结果。在粗镁生产阶段,竖罐工艺碳排放量相较于横罐工艺降低了24.2%。AZ91镁合金生产的碳排放下降了34.24%。

图3 不同工艺碳排放对比分析
Fig.3 Comparative analysis of carbon emissions from different processes
2 基于时间序列原镁生产碳排放分析
2.1 单位原镁生产的碳排放变化
根据资源、能源消耗数据的综合分析,计算得到了基于时间序列的吨镁生产碳排放结果,如图4所示。从2001年开始,中国单位金属镁生产二氧化碳排放呈显著下降趋势。在2023年,单位金属镁的碳排放量已降至20.03 t,相较于2001年的55.12 t下降了63.7%。其中,自2001年至2013年期间,单位原镁的碳排放量降幅达56%。2013年至2023年,单位原镁的碳排放量下降约为14%,进一步巩固了减排成效。

图4 2001—2023单位原镁碳排放
Fig.4 Carbon emissions per unit of primary magnesium from 2001 to 2023
2001至2013年间,碳排放量的显著下降主要归因于两大主要因素。一是燃料结构的根本性调整。自2005年起,燃料从直接燃煤转变为焦炉煤气、发生炉煤气、半焦气等气体燃料,这一变革显著降低了能源消耗及随之产生的碳排放量。二是白云石煅烧窑炉装备的改进。尤其是在2001年至2007年间,白云石煅烧窑炉的现代化改造项目成效显著,极大地降低了吨镁生产的能耗。以煤气回转窑为例,2007年该工艺实现了吨镁煤耗降低28%~30%,同时白云石消耗量也减少了19%~26%。原料和燃料的减少使镁冶炼环节中的直接碳排放大幅度降低。2013至2023年,镁冶炼设备持续改进以及硅铁生产原料焦炭的替代进一步促进了碳排放的降低。但皮江法炼镁工艺没有发生根本性变革,碳排放虽持续下降但趋势较为平缓。
2.2 镁行业历史碳排放分析
根据有色金属统计年鉴中金属镁历史产量数据,结合原镁单位碳排放,计算得到2001至2023年中国镁碳排放的变化趋势,二氧化碳排放整体呈“M”型(图5)。金属镁产量的波动与碳排放总量变化呈现高度关联性。2001-2007年和2011-2019年间,市场需求的大幅扩张促使金属镁产量急剧增加,导致排放总量迅速攀升。原镁产量和碳排放量在2019年达到最高点,分别为96.85万吨和2006.43万吨二氧化碳。
2007至2011年碳排放减少,主要原因是经济危机导致镁产量下降和能源结构变化。2019至2023年,由于环保政策导致镁企整改和产量减少,以及疫情后市场预期未实现导致库存积压和成本下降等问题,原镁产量和碳排放再次下降。2023年,中国原镁产量比2001年增长了311.2%,而二氧化碳排放量仅增加48.4%。这表明镁冶炼行业在节能减碳方面的努力取得了显著成效。

图5 二氧化碳总排放和中国原镁总产量变化
Fig.5 Changes in total CO2 emissions and total primary magnesium production in China
3 碳排放变化趋势预测
3.1 产量预测
金属镁产量是碳排放总量和碳达峰的关键影响因素。分析我国原镁产量历史数据得知,2021至2023年,中国的原镁产能稳定维持在约136万t,而产能利用率仅在63%左右。2011至2013年的产能利用率提升了大约15%。政策层面已经明确指出,未来镁业的发展方向是提升产能利用率,并确保金属镁产量的稳定增长。此外,竖罐工艺年产30万t的高性能镁基轻合金生产基地预计将在未来3至5年内实现投产,届时原镁产能将进一步扩大。
本文结合我国镁生产的历史数据、市场需求以及冶炼技术改造等多因素,参照过去十年技术进步幅度,计算得出2025至2035年金属镁产量预估曲线如图6所示。未来十年内,随着需求端的不断增长,镁产能和产量将迎来快速增长,原镁产能将达到160万t,产能利用率将提高到70%~80%。2025年至2030年的年均产量预计将达到110万t,而2031年至2035年的年均产量提升至120万t。

图6 中国金属镁产量预测
Fig.6 Magnesium production forecast in China
3.2 金属镁生产单耗预测
《2024-2025年节能降碳行动方案》提出镁冶炼行业新要求。由于竖罐炼镁改造投入成本较高,目前竖罐镁的产量约占全国原镁总产量的15%。竖式还原炉技术推广应用及产量占比的预测如下:2025年竖式还原炉产镁量占中国原镁总产量的20%,至2030年这一比例将提升至40%,到2035年达到60%。根据本文竖罐与横罐生产过程物耗、能耗之间的差异数据,计算得到关键时间节点的金属镁单耗见表4。

2024~2035年我国镁业碳排放潜力如图7所示。随着产量的增加,碳排放总量逐年上升,但随着设备改进带来的单位物耗、能耗的逐年降低,使变化率呈现稳中有降的趋势。碳排放将在2031年达到峰值,约为2280万t。
结果显示,在原镁生产总碳排放中,硅铁生产的间接排放占比39%,燃料燃烧的直接排放占比28%,白云石煅烧的排放占比27%,白云石开采、电力消耗仅占2%和4%。考虑到金属镁的市场前景,金属镁生产如没有颠覆性技术变革,未来持续性碳减排将面临较大的压力。

图7 镁行业碳排放潜力预测
Fig.7 Prediction of carbon emission potential of the magnesium industry
结论
1)相较于传统的横罐,竖式还原炉在使用过程中减少了10.4%的白云石和9.5%的硅铁用量,直接碳排放量相应降低了40.3%。自动化水平的提升导致电力消耗增加了25%,但通过生产的连续性减少了中间产品温度的散失,燃料消耗减少62.4%,综合能耗下降了57.6%。
2)自2001年起,我国单位原镁的碳排放量持续下降,原镁的产量以及整体碳排放量均呈现出增长趋势。碳排放总量的变化轨迹呈现出“M”型波动,与原镁产量的增长趋势之间存在显著的关联性。
3)基于单耗、产量和产能利用率的预测,我国金属镁生产的碳排放将在2031年实现碳达峰。镁生产的碳排放结构已经明确,在没有颠覆性技术应用的前提下,镁行业的碳减排面临较大的压力。开发低碳或零碳还原剂、利用可再生能源、寻找白云石替代原料等措施是镁冶炼低碳发展的重要路径。
专家简介
高峰,北京工业大学教授,博士生导师,兼任中国有色金属学会理事,中国材料研究学会环境材料分会第四届委员会副秘书长。主要从事生态环境材料与资源循环技术研发、材料/产品生命周期评价与绿色设计技术的研究。在有色金属及其材料产品生命周期评价和绿色设计技术、工业固废协同处置、城市固废循环利用等方面的研究取得了重要进展。主持及参与国家重点研发计划课题、工信部绿色制造集成项目、国家自然科学基金和企业委托项目等20余项。获得国家科技进步二等奖1项,省部级科技进步一等奖2项、国家级教育教学成果二等奖1项。